728x90
프로그래머스
코드 중심의 개발자 채용. 스택 기반의 포지션 매칭. 프로그래머스의 개발자 맞춤형 프로필을 등록하고, 나와 기술 궁합이 잘 맞는 기업들을 매칭 받으세요.
programmers.co.kr
문제 설명
당신은 이진트리를 수로 표현하는 것을 좋아합니다.
이진트리를 수로 표현하는 방법은 다음과 같습니다.
- 이진수를 저장할 빈 문자열을 생성합니다.
- 주어진 이진트리에 더미 노드를 추가하여 포화 이진트리로 만듭니다. 루트 노드는 그대로 유지합니다.
- 만들어진 포화 이진트리의 노드들을 가장 왼쪽 노드부터 가장 오른쪽 노드까지, 왼쪽에 있는 순서대로 살펴봅니다. 노드의 높이는 살펴보는 순서에 영향을 끼치지 않습니다.
- 살펴본 노드가 더미 노드라면, 문자열 뒤에 0을 추가합니다. 살펴본 노드가 더미 노드가 아니라면, 문자열 뒤에 1을 추가합니다.
- 문자열에 저장된 이진수를 십진수로 변환합니다.
이진트리에서 리프 노드가 아닌 노드는 자신의 왼쪽 자식이 루트인 서브트리의 노드들보다 오른쪽에 있으며, 자신의 오른쪽 자식이 루트인 서브트리의 노드들보다 왼쪽에 있다고 가정합니다.
다음은 이진트리를 수로 표현하는 예시입니다.
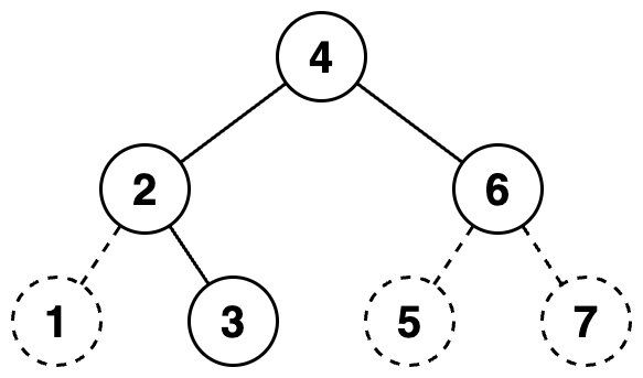
주어진 이진트리는 다음과 같습니다.

주어진 이진트리에 더미노드를 추가하여 포화 이진트리로 만들면 다음과 같습니다. 더미 노드는 점선으로 표시하였고, 노드 안의 수는 살펴보는 순서를 의미합니다.

노드들을 왼쪽에 있는 순서대로 살펴보며 0과 1을 생성한 문자열에 추가하면 "0111010"이 됩니다. 이 이진수를 십진수로 변환하면 58입니다.
당신은 수가 주어졌을때, 하나의 이진트리로 해당 수를 표현할 수 있는지 알고 싶습니다.
이진트리로 만들고 싶은 수를 담은 1차원 정수 배열 numbers가 주어집니다. numbers에 주어진 순서대로 하나의 이진트리로 해당 수를 표현할 수 있다면 1을, 표현할 수 없다면 0을 1차원 정수 배열에 담아 return 하도록 solution 함수를 완성해주세요.
제한사항
- 1 ≤ numbers의 길이 ≤ 10,000
- 1 ≤ numbers의 원소 ≤ 1015
입출력 예

풀이
class Solution {
static int result; // 결과 값을 저장하는 정적 변수
static boolean[] binary; // 이진수 표현을 저장하는 배열
static int treeLen; // 완전 이진 트리의 노드 수
public int[] solution(long[] numbers) {
int n = numbers.length;
int[] answer = new int[n];
for (int i = 0; i < n; i++) {
String b = Long.toBinaryString(numbers[i]); // 입력된 숫자를 이진수 문자열로 변환
int length = b.length(); // 이진수 문자열의 길이 계산
int exp = 1;
do {
treeLen = (int) Math.pow(2, exp++) - 1; // 완전 이진 트리의 노드 수 계산
} while (treeLen < length);
binary = new boolean[treeLen]; // 이진수를 저장할 배열 초기화
int idx = treeLen - length; // 배열 인덱스 계산
for(int j = 0; j < length; j++) {
binary[idx++] = b.charAt(j) == '1'; // 이진수 문자열을 배열에 저장
}
result = 1; // 초기 결과 값 설정
possible(0, treeLen - 1, false); // 이진 트리 검사 시작
answer[i] = result; // 결과 값을 배열에 저장
}
return answer;
}
public static void possible(int s, int e, boolean check) {
int mid = (s + e) / 2; // 중간 노드 인덱스 계산
if(check && binary[mid]) { // 현재 노드가 더미 노드인 경우 0이어야 하지만 1이면
result = 0; // 결과 값을 0으로 설정
return; // 검사 종료
}
// 현재 노드가 마지막 노드가 아닌 경우에는 계속해서 검사 진행
if(s != e) {
// 왼쪽 자식 노드 검사, 현재 노드가 더미 노드인 경우 check = true로 전달
possible(s, mid - 1, !binary[mid]);
// 오른쪽 자식 노드 검사
possible(mid + 1, e, !binary[mid]);
}
}
}728x90
'💻 코딩테스트 > programmers' 카테고리의 다른 글
| 프로그래머스 2단계 : 다리를 지나는 트럭 (Java 자바) (1) | 2023.10.18 |
|---|---|
| 프로그래머스 3단계 : 파괴되지 않은 건물 (Java 자바) (1) | 2023.10.18 |
| 프로그래머스 2단계 : n^2 배열 자르기 (Java 자바) (0) | 2023.10.05 |
| 프로그래머스 2단계 : 할인행사 (Java 자바) (1) | 2023.10.05 |
| 프로그래머스 2단계 : H-Index (Java 자바) (1) | 2023.10.05 |